[俄] 美丽的萨哈姑娘
《[俄] 美丽的萨哈姑娘》文本歌词
Якутяночка моя
Музыка: Аркадий Алексеев
Слова: Леонид Дербенёв
Подо льдом от стужи прячась, дремлет северное море,
А у девушки-якутки щёки алые как зори…
Вот идёт она по кругу в ритме чётком и упругом
и волнует, и тревожит, словно песня соловья!
В эти белые края вновь и вновь приеду я,
чтоб увидеть, как танцует якутяночка моя.
Вот идет она по кругу, головою в такт качая,
а над ней плывут снежинки, словно маленькие чайки.
На снегу синеют тени от задумчивых оленей
И прозрачный месяц светит, шерсть оленью серебря.
В эти белые края вновь и вновь приеду я,
чтоб увидеть, как танцует якутяночка моя.
Подо льдом от стужи прячась, море северное дремлет,
Но с небес высоких звёзды свет алмазный льют на землю.
В тишине седой и чуткой кружит девушка-якутка,
Вместе с нею в танце этом кружит древняя земля.
В эти белые края вновь и вновь приеду я,
чтоб увидеть, как танцует якутяночка моя.
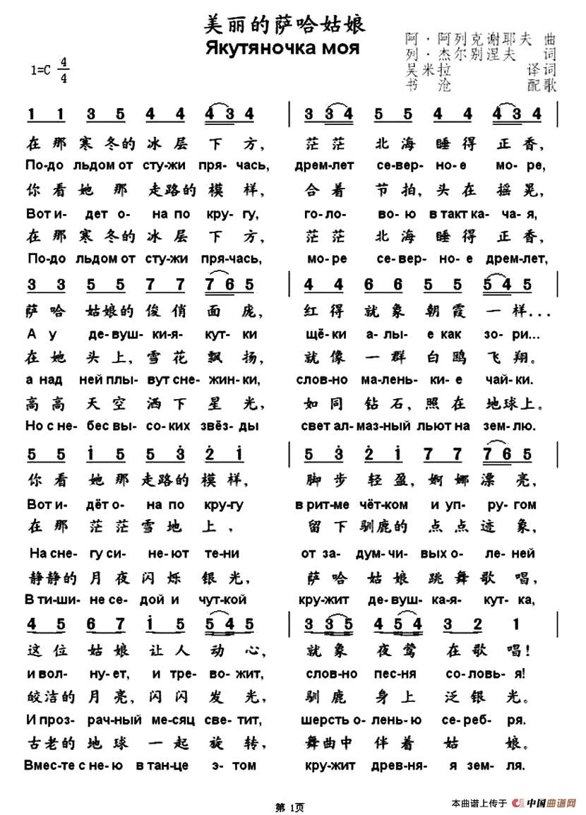
美丽的萨哈姑娘
阿·阿列克谢耶夫 曲
列·杰尔别涅夫 词
吴米拉 译词
书 沧 配歌
在那寒冬的冰层下方,茫茫北海睡得正香,
萨哈姑娘的俊俏面庞,红得就象朝霞一样...
你看她那走路的模样,脚步轻盈,婀娜漂亮,
这位姑娘让人动心,就象夜莺在歌唱!
这个洁白的地方,我要再次来观赏,
为了看到翩翩起舞的,美丽的萨哈姑 娘。
2,
你看她那走路的模样,合着节拍,头在摇晃,
在她头上,雪花飘扬,就像一群白鸥飞翔。
在那茫茫雪地上,留下驯鹿的点点迹象,
皎洁的月亮,闪闪发光,驯鹿身上泛银光。
这个洁白的地方,我要再次来观赏,
为了看到翩翩起舞的,美丽的萨哈姑 娘。
3,
在那寒冬的冰层下方,茫茫北海睡得正香,
高高天空洒下星光,如同钻石,照在地球上。
静静的月夜闪烁银光,萨哈姑娘跳舞歌唱,
古老的地球一起旋转,舞曲中伴着姑 娘。
这个洁白的地方,我要再次来观赏,
为了看到翩翩起舞的,美丽的萨哈姑 娘。
2013 5 11


![[俄] 美丽的萨哈姑娘(1)_原文件名:1.jpg](/Public/Uploads/2013/11/11/52805024a5458.jpg)