用户名: 密码: 免费注册 忘记密码?
收藏本站| 网站帮助| 谱友留言| 上传曲谱| 首页
张遇良原创曲谱专栏
http://www.qupu123.com/space/23004
作品详情

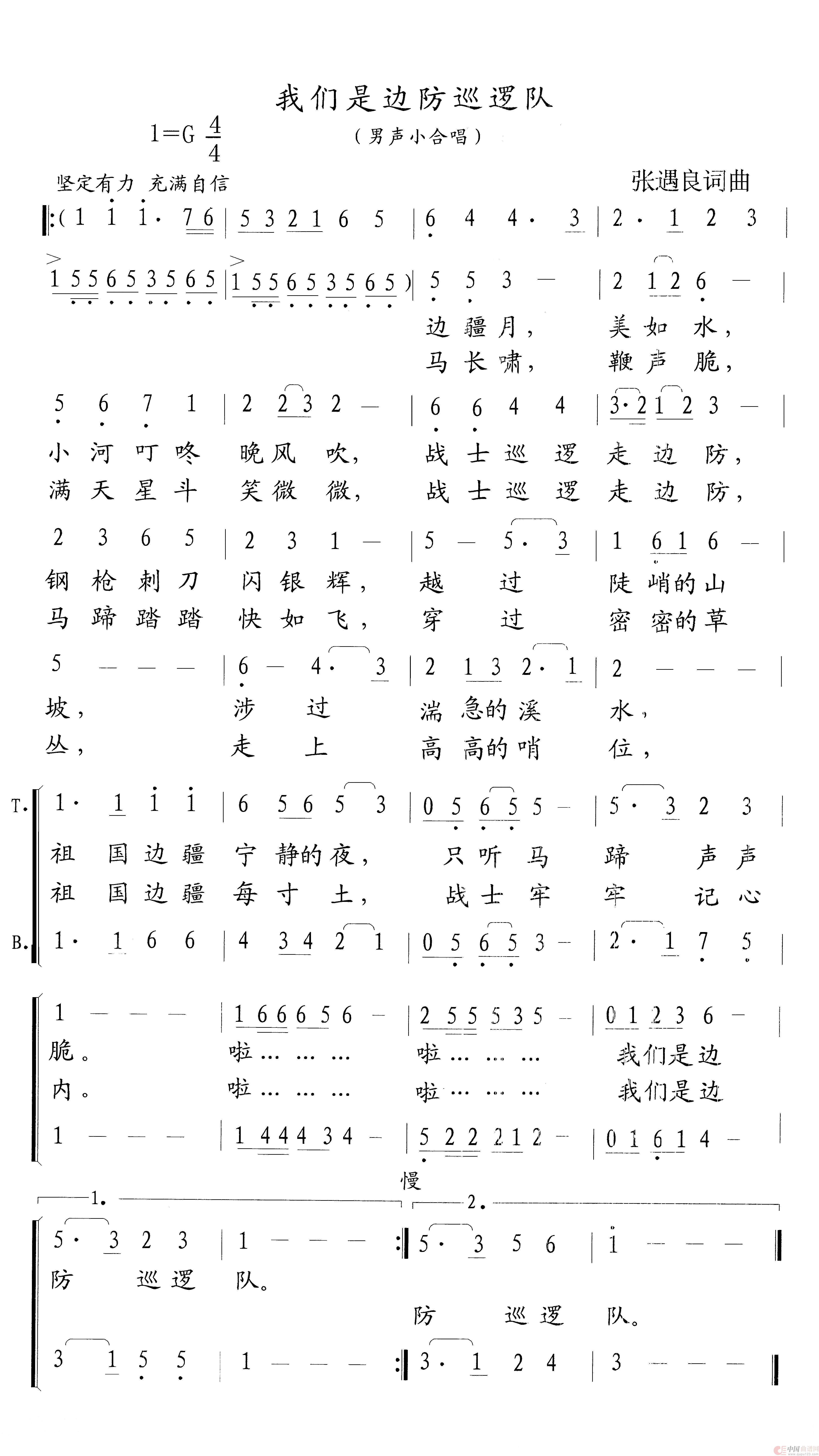
我们是边防廵逻队

作词:张遇良   作曲:张遇良   来源:自创   上传:张遇良   日期:2025-07-22   浏览次数:  
发送到我的邮箱 打包下载 全屏查看 手机看谱 加入收藏 发表评论
提示:在曲谱图片上单击右键,选择"图片另存为..."即可将曲谱保存到您的电脑中,打印时候可将图片插入到WORD中,调整合适大小打印即可。
我们是边防廵逻队(1)_原文件名:我们是边防巡逻队.jpg
点击查看剩余 1 张曲谱
关于《我们是边防廵逻队》曲谱的评论
此曲谱暂无评论,欢迎发表您的见解。
发表评论 必须登录后才能发表评论,还未注册?
您还未登录 用户名: 密码:
Copyright © 2013 www.qupu123.com All Rights Reserved 张遇良 版权所有 未经作者允许,请勿转载。