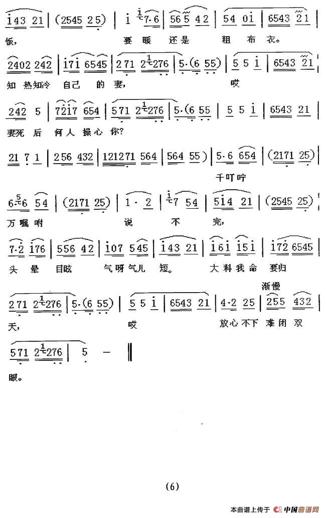
[眉户] 苦命人床边泪悲啼(《鳏夫哭坟》选段)
提示:在曲谱图片上单击右键,选择“图片另存为...”即可将曲谱保存到您的电脑中,打印时候可将图片插入到WORD中,调整合适大小打印即可。
关于《[眉户] 苦命人床边泪悲啼》曲谱的评论
此曲谱暂无评论,欢迎发表您的见解。


![[眉户] 苦命人床边泪悲啼(《鳏夫哭坟》选段)(1)_原文件名:1.jpg](/Public/Uploads/0/e/50a8dd47d4f09.jpg)
![[眉户] 苦命人床边泪悲啼(《鳏夫哭坟》选段)(1)_原文件名:3.jpg](/Public/Uploads/d/f/50a8dd4fc9764.jpg)
![[眉户] 苦命人床边泪悲啼(《鳏夫哭坟》选段)(1)_原文件名:5.jpg](/Public/Uploads/a/b/50a8dd5881016.jpg)