《只要平凡》由格格作词黄超作曲。是2018年上映的国产电影《我不是药神》的主题曲发行于2018年6月25日。原曲由张杰、张碧晨原唱。由周希怀翻唱。
整首曲子催人泪下。编曲方面加入了钢琴和弦乐,使得声部更加丰满;混音方面的混响也更加细腻;人声方面由于加入了合唱,使得这首歌呈现的冲击力巨大,歌词蕴含深意,震撼心灵!
《只要平凡》剥下了嬉笑怒骂的诙谐外壳,直指柔软而慈悲的内心世界。小人物的困顿、勇气、蜕变亦流转于哀婉的歌词之中,似一出致敬命运的动人自白。歌曲在致敬小人物的同时,对深刻的生命主题也给出了理解。
歌词如“放过对错才知答案”、“跳动心脏长出藤蔓,愿为险而战”等等,在是非对错的暧昧界线中,以“握紧手中平凡”道出关于人生最质朴的回应。歌词娓娓道来,让观众在电影和音乐的演绎中,感受到了小人物的真实魅力。
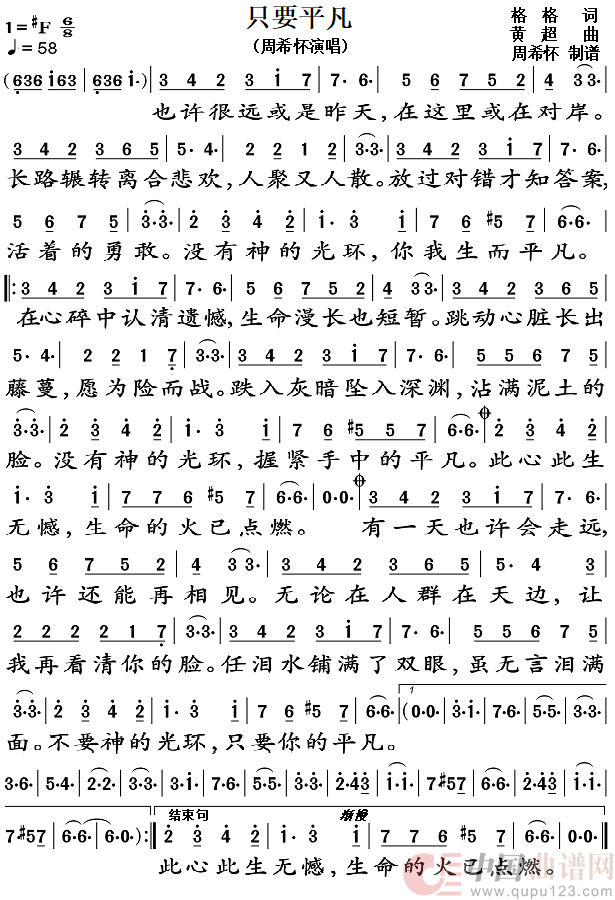
《只要平凡》文本歌词
也许很远或是昨天
在这里或在对岸
长路辗转离合悲欢
人聚又人散
放过对错才知答案
活着的勇敢
没有神的光环
你我生而平凡
在心碎中认清遗憾
生命漫长也短暂
跳动心脏长出藤蔓
愿为险而战
跌入灰暗坠入深渊
沾满泥土的脸
没有神的光环
握紧手中的平凡
此心此生无憾
生命的火已点燃
有一天也许会走远
也许还能再相见
无论在人群在天边
让我再看清你的脸
任泪水铺满了双眼
虽无言泪满面
不要神的光环
只要你的平凡
在心碎中认清遗憾
生命漫长也短暂
跳动心脏长出藤蔓
愿为险而战
跌入灰暗坠入深渊
沾满泥土的脸
没有神的光环
握紧手中的平凡
有一天也许会走远
也许还能再相见
无论在人群在天边
让我再看清你的脸
任泪水铺满了双眼
虽无言泪满面
不要神的光环
只要你的平凡
此心此生无憾
生命的火已点燃


