提示:在曲谱图片上单击右键,选择"图片另存为..."即可将曲谱保存到您的电脑中,打印时候可将图片插入到WORD中,调整合适大小打印即可。
《明明你先招惹我》文本歌词
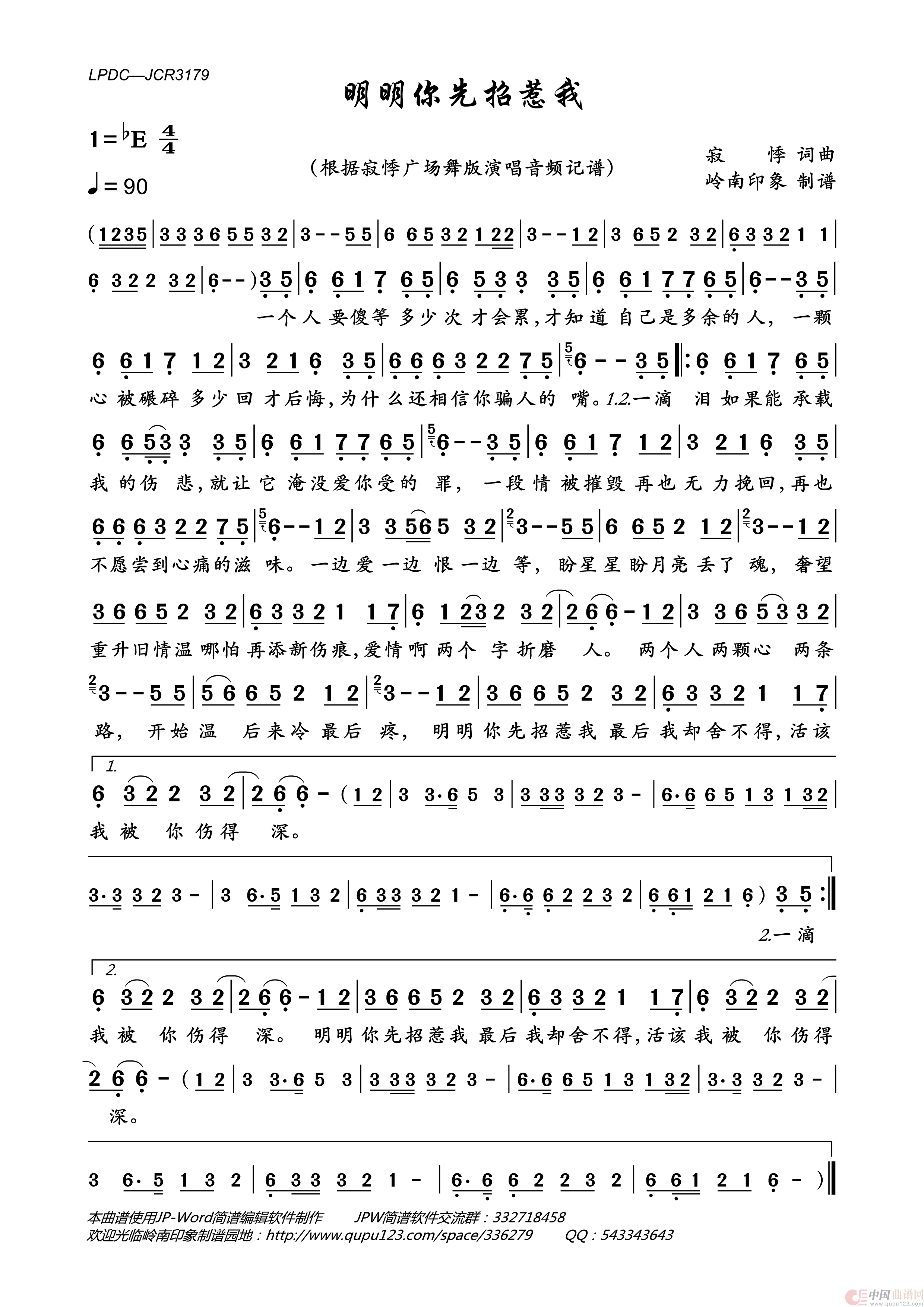
寂悸词曲、演唱
Music…
一个人要傻等多少次才会累,
才知道自己是多余的人,
一颗心被碾碎多少回才后悔,
为什么还相信你骗人的嘴。
1. 一滴泪如果能承载我的伤悲,
就让它淹没爱你受的罪,
一段情被摧毁再也无力挽回,
再也不愿尝到心痛的滋味。
一边爱一边恨一边等,
盼星星盼月亮丢了魂,
奢望重升旧情温哪怕再添新伤痕,
爱情啊两个字折磨人。
两个人两颗心两条路,
开始温后来冷最后疼,
明明你先招惹我最后我却舍不得,
活该我被你伤得深。
Music…
2. 一滴泪如果能承载我的伤悲,
就让它淹没爱你受的罪,
一段情被摧毁再也无力挽回,
再也不愿尝到心痛的滋味。
一边爱一边恨一边等,
盼星星盼月亮丢了魂,
奢望重升旧情温哪怕再添新伤痕,
爱情啊两个字折磨人。
两个人两颗心两条路,
开始温后来冷最后疼,
明明你先招惹我最后我却舍不得,
活该我被你伤得深。
明明你先招惹我最后我却舍不得,
活该我被你伤得深。
Music…
