提示:在曲谱图片上单击右键,选择"图片另存为..."即可将曲谱保存到您的电脑中,打印时候可将图片插入到WORD中,调整合适大小打印即可。
《两手空空心空空》文本歌词
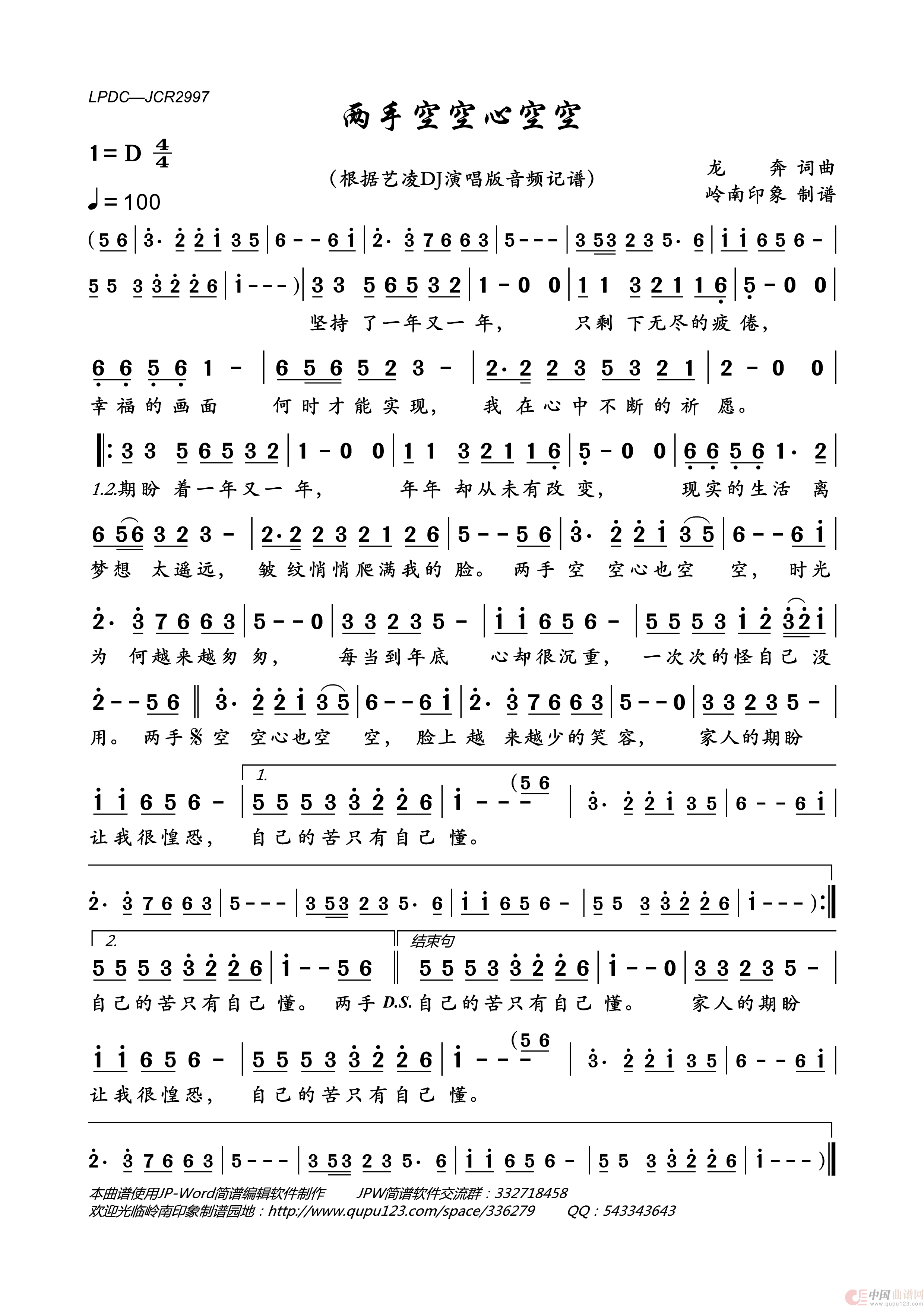
龙奔词曲
艺凌演唱
Music…
坚持了一年又一年,
只剩下无尽的疲倦,
幸福的画面何时才能实现,
我在心中不断的祈愿。
1. 期盼着一年又一年,
年年却从未有改变,
现实的生活离梦想太遥远,
皱纹悄悄爬满我的脸。
两手空空心也空空,
时光为何越来越匆匆,
每当到年底心却很沉重,
一次次的怪自己没用。
两手空空心也空空,
脸上越来越少的笑容,
家人的期盼让我很惶恐,
自己的苦只有自己懂。
Music…
2. 期盼着一年又一年,
年年却从未有改变,
现实的生活离梦想太遥远,
皱纹悄悄爬满我的脸。
两手空空心也空空,
时光为何越来越匆匆,
每当到年底心却很沉重,
一次次的怪自己没用。
两手空空心也空空,
脸上越来越少的笑容,
家人的期盼让我很惶恐,
自己的苦只有自己懂。
3. 两手空空心也空空,
脸上越来越少的笑容,
家人的期盼让我很惶恐,
自己的苦只有自己懂。
家人的期盼让我很惶恐,
自己的苦只有自己懂。
Music…
