提示:在曲谱图片上单击右键,选择“图片另存为...”即可将曲谱保存到您的电脑中,打印时候可将图片插入到WORD中,调整合适大小打印即可。
《一世情缘》文本歌词
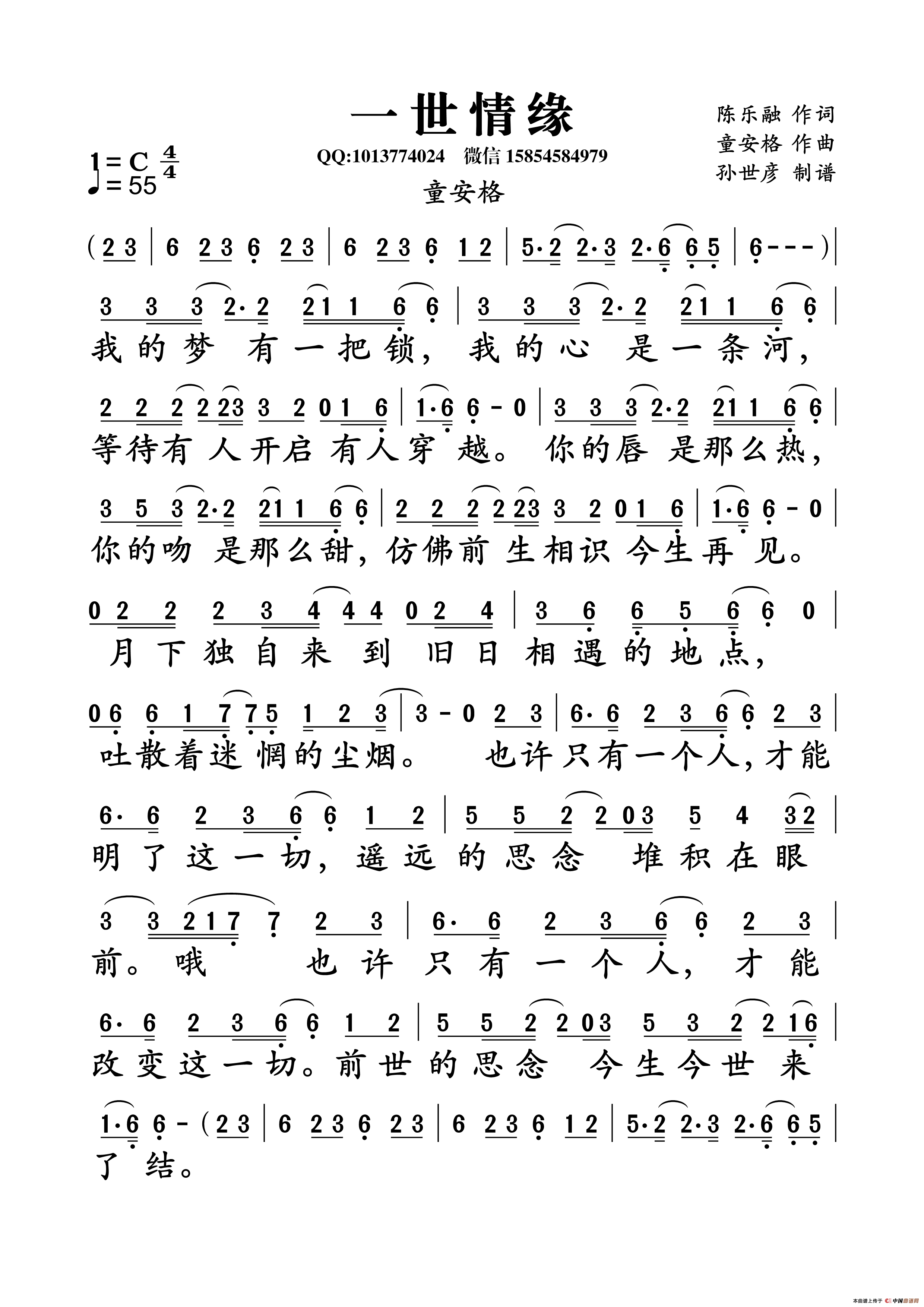
一世情缘
童安格
陈乐融词 童安格曲
我的梦有一把锁,我的心是一条河,
等待有人开启有人穿越。
你的唇是那么热,你的吻是那么甜,
仿佛前生相识今生再见。
月下独自来到旧日相遇的地点,
吐散着迷惘的尘烟。
也许只有一个人,才能明了这一切,
遥远的思念堆积在眼前。
也许只有一个人,才能改变这一切。
前世的思念今生今世来了结。
我的梦有一把锁,我的心是一条河,
等待有人开启有人穿越。
你的唇是那么热,你的吻是那么甜,
仿佛前生相识今生再见。
月下独自来到旧日相遇的地点,
吐散着迷惘的尘烟。
也许只有一个人,才能明了这一切,
遥远的思念堆积在眼前。
也许只有一个人,才能改变这一切,
前世的思念今生今世来了结。
也许只有一个人,才能改变这一切,
前世的思念今生今世来了结。
关于《一世情缘》曲谱的评论
wangzedu
2022-10-05 12:06
姜育恒也演唱过这首歌! [回复]


